ISO14644-1洁净标准(中文翻译完整版)

文章来源://m.capeel.com/  2012年07月13日  点击数:153984

前言 

ISO为全球各国标准化团体(ISO会员团体)的联合会。其国际标准工作一般是由ISO各技术委员会执行。每个会员团体若对技术委员会的某一课题感兴趣,均有权作为此技术委员会的代表。任何与ISO保持联系的国际组织,无论是政府的还是非政府的组织,同样可参加此项工作。ISO与国际电气技术委员会(IEC)在电气技术标准化方面进行紧密合作。


国际标准草案由其技术委员会认可后送各会员团体进行传阅,以待表决。草案作为国际标准颁布至少需要75%的会员团体投赞成票。


国际标准ISO 14644-1由ISO/TC209洁净室及相关受控环境技术委员会提出。


ISO 14644在洁净室及相关受控环境的总标题下,由下述各部分组成:

第1部分:空气洁净度等级划分            

第2部分:为认证与ISO 14644-1连续的相符性的测试和监测技术要求 

第3部分:计量和测试方法                 

第4部分:设计、施工和启动                

第5部分:运行                            

第6部分:术语和定义                   

第7部分:增强的洁净装置               


用户应注意,第2至第7部分的标题为第1部分发行时的工作标题。如果从工作计划中删除了一部分或几部分,剩余部分可以重新编写。


附录B和C为ISO 14644的组成部分,附录A、D、E和F仅作资料用。


引言 

洁净室及相关受控环境保证空气中悬浮粒子被控制在合适的级别,以确保完成对污染敏感的有关活动。以下行业的产品和工艺均得益于空气中悬浮污染物的控制:航天、微电子、医药、医疗器械、食品和保健品。

ISO 14644的本部分指定ISO分级的各级别,以此作为洁净室及相关受控环境内空气洁净度的技术要求。本部分不仅确定了空气中悬浮粒子测试的程序,而且确定了测试的标准方法。

为划分等级,ISO 14644的本部分仅限于确定粒子浓度限值用的指定的粒径范围。本部分还提供了标准协议,以依据大于或小于指定分级用粒径范围的悬浮粒子浓度等级标识。

ISO 14644的本部分为洁净室和污染控制系列标准中的一个标准。除悬浮粒子洁净度之外,还有许多因素必须在洁净室及其受控环境的设计、技术要求、运行和控制中予以考虑。这些内容在ISO/TC209技术委员会制定的其它国际标准中有详细论述。

在某些情况下,有关管理机构可能会规定动作一些补充的政策或限制。这就可能要求对标准的测试程序作适当的修改。


洁净室及相关受控环境—第1部分:

空气洁净度的分级


1 范围

ISO 14644的本部分是根据空气中悬浮粒子浓度来划分洁净室及相关受控环境中空气洁净度的等级。只有在0.1μm-0.5μm的阈值(低于阈值)粒径范围内呈累积分布的粒子群体才可供分级用。

ISO 14644的本部分不包含0.1μm-0.5μm规定粒径范围以外的粒子群体的分级。超微粒子(<0.1μm)和大粒子(>0.5μm)可分别以U描述符和M描述符来量化粒子群体。

ISO 14644的本部分不能用于表征悬浮粒子的物理性、化学性、放射性或生存性。


注 粒径遵纪守法增范围内粒子浓度的实际分布情况通常是不可预测的,并且是随着时间而变化的。


2 定义

下述定义适用于ISO 14644的本部分


2.  1 通则

2.  1.  1 

洁净室

空气悬浮粒子浓度受控的房间、房间的建设和使用方式要尽可能减少室内引入、产生和滞留粒子,室内其它相关参数如温度、湿度和压力按要求进行控制。


2.  1.  2 

洁净区

悬浮粒子浓度受控的限定空间。空间的建设和使用方式要尽可能减少区内引入、产生和滞留粒子,空间内其它相关参数如温度、湿度和压力按要求进行控制。

注:该区可以是开放式或是密闭式,可以位于或不位于洁净室内。


2.  1.  3 

设施

洁净室或一个或多个洁净区,连同所有相关的构筑物、空气处理系统、动力和公用设施。


2.  1.  4 

分级

适用于一个的悬浮粒子洁净度等级(或规定或确定该等级的过程),以ISO等级N来表示,它表示所考虑的粒径的最大允许浓度(以pc/m3空气计)。

注1  此浓度用3.2中的公式(1)确定。

注2  按照本国际标准进行分级,限定在ISO 1级至ISO 9级。

注3  适用于按本国际标准分级的粒径(低阈值)范围限于0.1μm-0.5μm。分级范围之外的阈值粒径之空气洁净度可以用U或M描述符(见2.3.1或2.3.2)来说明和规定(但不是分级)。

注4  ISO分级可以规定中间等级号,用最小允许递增值0.1,规定为自ISO 1.1至8.9级。

注5  等级可以按3种占用状态(见2.4)规定或实现。


2.  2 悬浮粒子

2.  2.  1

粒子

用于空气洁净度分级的固体或液体物,其粒径阈值(低限)范围在0.1μm-0.5μm,并呈累积分布。


2.  2.  2

粒径

由给定的粒径测定仪响应出(与被测粒子作出的响应当量)的球体的直径。

注 离散粒子计数和光散射仪器使用当量光学直径。


2.  2.  3

粒子浓度

单位体积空气中的单个粒子数。


2.  2.  4

粒径分布

作为粒径函数的粒子浓度之累积分布。


2.  2.  5

超微粒子

当量直径小于0.1μm的粒子。


2.  2.  6

大粒子

当量直径大于0.5μm的粒子


2.  2.  7

纤维

长宽比等于或大于10的粒子。


2.  3  描述符

2.  3.  1

U描述符

测得或规定的粒子浓度,即含超微粒子的浓度以pc/m3空气计;

注  U描述符可认为是采样点平均值的上限(或置信上限,取决于用于确定洁净室或洁净区特性的采样点数目)不能用U描述符来定义且悬浮粒子洁净度等级,但可以单独引用或与悬浮粒子洁净度等级一起引用。


2.  3.  2

M描述符

测得或规定的每m3空气中大粒子的浓度,以作为所用测试方法特性的当量直径来表示。

注  M描述符可认为是采样点平均值的上限(或置信上限,取决于用于确定洁净室或洁净区特性的采样点数目)不能用M描述符来定义悬浮粒子洁净度等级,但可以单独引用或与悬浮粒子洁净度等级一起引用。


2.  4  占用状态

2.  4.  1

空态

设施已经建成,所有动力接通并运行,但无生产设备、材料或人员在场。


2.  4.  2

静态

设施已经建成,生产设备已经安装好,并以用户和供应商同意的方式运行,但没有人员在场。


2.  4.  3

动态

设施以规定的方式运行,有规定数目的人员在场,并以双方同意的方式进行工作。

表1  洁净室及洁净区选列的悬浮粒子洁净度等级

ISO等级序数(N)

大于或等于表中被考虑的粒径的最大浓度限值

(pc/m3空气浓度限值按3.2中的公式计算)

0.1μm

0.2μm

0.3μm

0.5μm

1μm

5μm

ISO Class 1

10

2





ISO Class 2

100

24

10

4



ISO Class 3

1 000

237

102

35

8


ISO Class 4

10 000

2 370

1 020

352

83


ISO Class 5

100 000

23 700

10 200

3 520

832

29

ISO Class 6

1 000 000

237 000

102 000

35 200

8 320

293

ISO Class 7




352 000

83 200

2 930

ISO Class 8




3 520 000

832 000

29 300

ISO Class 9




35 200 000

8 320 000

293 000

注:由于涉及测量过程的不确定性,帮要求用三个有效的数据来确定浓度等级水平。

2.  5   角色

2.  5.  1

用户

负责规定洁净室或洁净区的要求的组织或其代理。

2.  5.  2

供应商

被聘用来满足规定的洁净室或洁净区的要求的组织。


3  等级

3.  1

占用状态

洁净室或洁净区内空气的粒子洁净度应按“空态”、“静态”和“动态”三种占用状态中的一种或三种(见2.4)进行定义。

注 应认识到“空态”适用于新建成的或新发行的洁净室或洁净区。对“空态”的测试完成后,即应进一步测试“静态”或“动态”或两种状态。


3.  2 

等级级别

空气中悬浮粒子洁净度以等级序数N命名。各种被考虑粒径D的粒子Cn的最大允许浓度用下述公式确定:

浓度计算公式

公式中,

Cn  —大于或行于被考虑粒径的粒子最大允许浓度(pc/m3空气)。Cn以有效数为3位四舍五入到最靠近的整数。

N —ISO等级级别,最大不超过9。ISO等级级别N之间的中间数可以按0.1为最小允许递增值进行规定。

D  —以微米(μm)计的被选粒径。

0.1 —为一常数,表示以微米(μm)计的量纲。

表1表示的是被选择的悬浮粒子洁净度等级和大于或等于表中所考虑粒径的粒子之相应浓度限值。图A.1(见附录A)以图解形式表示出所选的等级。在有争议的情况下,从公式(1)中得到的浓度Cn应作为标准值。


3.  3  命名

洁净室或洁净区的悬浮粒子洁净度的命名应包括:

a) 等级级别,以“ISO Class N”表示:

b) 分组时的占用状态:

c) 按分级公式(1)测定的被考虑粒径,各被考虑粒径的阈值均在0.1μm-0.5μm的范围内。

命名实例:

ISO Class 4:动态:被考虑粒径:0.2μm(2370pc/m3),1μm(83pc/m3)

测量浓度的被考虑粒径应得到用户和供应商双方的同意。

如果测量一个以上的被考虑粒径,各较大的粒径(如D2)应至少为下一个较小粒径(如D1)的1.5倍。

即:D2≥ 1.5 ×D1


4    相符性认证

4.  1原则

通过执行用户和供应商双方同意的指定的测试程序,并提供关于测试条件和测试结果的规定文件,认证是否符合用户规定的空气洁净度(ISO class)要求。

4.  2测试

附录B中给出了认证相符性的基准测试方法。也可以规定其它有类似准确性的方法,如果没有就其它方法作出规定或达成一致意见,则应该用基准方法。

应采用经过校舍准的食品进行相符性认证测试。

4.  3悬浮粒子浓度限值

按4.2完成测试后,按附录C中的公式计算平均粒子浓度和95%置信上限(适用情况下)。

按公式(C.1)计算出的平均粒子浓度不应超过用3.2中公式(1)确定的浓度限值,其被考虑粒很应符合[3.3  c]的规定。

此外,如果采样点数目至少为2个,但不超过9个,则按C.3计算的95%置信上限不应超过上面确定的浓度限值。

注 附录D中给出等级计算的工作实例。

对于各种被考虑粒径应用相同方法来测定,用于认证等级粒子浓度限值具有一致性。

4.  4  测试报告

各洁净室或洁净区的测试结果均应记录,应以综合报告形式提交,并说明是否符合规定的是浮粒子洁净度命名等级。

测试报告应包括下述各项内容:

a)  测试组织的名称、地址和进行测试的日期;

b)  ISO 14644本部分的出版编号和年代,即ISO 14644-1:当前版日期;

c)  明确标明被测洁净室或洁净区的实际位置(必要时包括临近的参照区)及所有采样    点坐标的具体标注;

d)  规定的对洁净室或洁净区命名准则,包括ISO等级、相关的占用状态和被考虑粒径;

e)  测试方法的详细说明,包括与测试有关的或偏离测试方法的特殊条件,及测试食品合格证和最近的标定证书;

f)   测试结果,含各采样点坐标的粒子浓度数据。

注 如果超微粒子或大粒子的浓度已经按附录E的说明进行了量化,适当的资料应包含在测试报告中。



ISO14644-1(附录部分中文翻译)

附录A

(资料)


表1中等级的图解形式 

图A.1为图解形式说明表1中的空气洁净度等级,仅供演示用。表1中的ISO待批等级在此用线条表示出该等级的被考虑阈值粒径的浓度限值,其依据是用3.2中公式(1)进行的计算。由于线条表示的仅是近似的等级限值,因此不得用于定义限值。限值只能按照公式(1)确定。

图示的等级线不可外推超过实心圆符号。实心圆符号是所示各ISO等级认可的最大和最小粒径限值。

等级线不代表在洁净室或洁净区内呈现的实际粒径分布。

iso14644洁净度等级表

注1   Cn表示大于或行于被考虑粒径的悬浮粒子最大允许浓度(pc/m3空气)。

注2   N表示规定的ISO等级级别。



附录B

(标准部分) 


采用离散粒子计数和光散射仪器确定微粒洁净度的等级 

B.1 原理

     使用离散粒子计数和光散射仪器确定在指定的采样点上大于或等于规定粒径的悬浮粒子的浓度。

B.2 仪器要求

B.2.1  粒子计数仪

    离散粒子计数器(DPC)是一种光散射装置,具有显示或记录空气中离散粒子的数目和粒径的能力和粒径鉴别能力,可检测到被测级别之适当粒径范围内的总粒子浓度,以及适当的采样系统。

B.2.2  仪器标定

    仪器应该有有效的标定证书;标定的频率和方法应按现行公认的规定执行。

B.3 预测试条件

B.3.1  测试准备

测试前,应按照技术性能要求认证洁净室或洁净区作为一个运行的整体,是完整的、功能是正常的。

预测试工作一般包括:

a) 空气流量或流速测试;

b) 空气压差测试;

c) 围护结构泄漏测试;

d) 装好的过滤器泄漏测试。

B.3.2  预测试设备配置

    按照制造厂的说明书进行设备配置和仪器的预测试标定。

B.4 采样

B.4.1 确定采样点位置

B.4.1.1

    按公式(B.1)求出最少的采样点数目:

                                                            

(B.1)式中,

NL —最少采样点数(四舍五入为整数)。

A   —洁净室或洁净区的面积,以M2计。

注 在水平单向层流时,面积A可以看作是与气流方向呈垂直流动的空气的截面积。

B.4.1.2 

    要保证采样点均匀分布于整个洁净室或洁净区内,并位于工作活动的高度。

    如果用户规定增加采样点,其数目和位置也应作出规定。

注 增加的采样点可认为是风险分析的关键。

B.4.2  确定各采样点的每次采样量

B.4.2.1 指定的ISO等级如最大被考虑粒径的粒子浓度的限值时,在每个采样点要采集足够的空气量,保证能检测出至少20个粒子。

   每个采样点的每次采样量VS用下式确定:

                                    

(B.2)式中,

VS     ——每个采样点每次最少采样量,用升表示(B.4.2.2中的情况除外)。

Cn.m  ——为相关等级规定的最大被考虑粒径之等级限值(pc/m3空气)。

20      ——当粒子浓度处于该等级限值时,可被检测到的粒子数。

注:VS值很大时,需要的采样时间可能会很长。利用顺序采样程序(见附录F)既可以减少要求的采样量,又减少采样需要的时间。

B.4.2.2 

   每个采样点的采样量至少为2升,采样时间最少为1分钟。

B.4.3 采样程序

B.4.3.1

  按照厂家说明书和仪表标定证书,调定粒子计数器(B2.1)

B.4.3.2

  采样探头的位置应插入空气流。若被采样的气质方向是未受控的或不可预计的(如非单向流),采样控头的入口应垂直指向上方。

B.4.3.3

   每个采样点,按B4。2确定的最小采样量采样。

B.4.3.4

   当只要求一个采样点时(B4.1),则在该点最少进行三次采样。

B.5 结果记录

B.5.1 各采样点的粒子平均浓度

B.5.1.1

   把每次采样测量的结果与空气洁净度等级相关的各个被考虑粒径的浓度(3.3)记录下来。

注 在进行95%置信上限的计算之前,应B6.1的要求。

B.5.1.2

   当只用一个采样点时,计算并记录各被考虑料径的采样数据平均值(B.4.3.4)。

B.5.1.3

   当在一个采样点上采集2次以上采样时,按照C.2中给定的程序,从每次采样粒子浓度(B.5.1.1)计算各采样点被考虑粒径的平均粒子浓度,并记录下结果。

B.5.2 计算95%置信上限(UCL)的要求

B.5.2.1 

   当采样的点多于1个,少于10个时,按照C.3中给定的程序,从所有各点的平均粒子浓度(B.5.1)计算平均值、标准误差和95%置信上限。

B.5.2.2

   在采样点只有1个,或多于9个时,不用计算95%置信上限。


B.6 整理

B.6.1 分级要求

   如果在各采样点测得的粒子浓度平均值及按照B.5.2计算的95%置信上限未超过按3.2中公式(1)确定的浓度限值,该洁净室或洁净区即被认为是达到了规定的空气洁净度级别。

   如果测试结果未能满足规定的空气洁净度级别,可增加均匀分布的采样点进行测试。再次计算的结果,包括增加的采样点的数据,判断确立洁净度等级。

B.6.2 界外值的处理

    95%置信上限(UCL)计算结果可能没能满足规定的ISO等级。如果是因为(程序上的误差或设备功能不良造成的)测量差错或(由于空气异常的洁净而导致)异常低的粒子浓度,而产生单个的、非随机性的“界外值”,在符合下述条件的情况下,可以把该界外值排除不计:

    a) 包括所有其余采样点的计算是重复进行的;

    b) 计算中至少保留有3次测量值;

    c) 计算中至多只有1个测量值排除在外;

    d) 有误差的测量或粒子浓度低的推测原因由用户和供应商认可,并以文件记录下来。

注 在采样点,粒子浓度值的较大差异可能是合理的,甚至是有意造成的,这取决于待测洁净设施的应用性质。



附录C

(标准部分) 


粒子浓度数据的统计处理 

C.1 通则

   统计分析只考虑随机误差(缺乏精度),不考虑非随机误差(如,与误差标定有关的偏差)。

C.2 计算某一采样点(Xi)的平均粒子浓度的算法

   当在一个采样点进行多次采样时,应该用公式(C.1)来确定该点的平均粒子浓度。平均粒子浓度的计算应该在采样次数为2次以上的各个采样点进行。

                                                

 (C.1)式中,

Xi  ——采样点i(代表任何位置)的平均粒子浓度

Xi。1 ——每次采样的粒子浓度

n   ——在采样点i的采样次数

C.3 计算95%置信上限的算法

C.3.1 通则

    本方法只适用于采样点为1个以上,10个以下的情况。在这种情况下,应该使用公式(C.1)的算法和本方法。

C.3.2 平均值的总均值

    用公式(C.2)确定平均值的总(综合)平均值

                                     

 (C.2)式中,

——采样点平均值的总均值

至——用公式(C.1)得出的各个采样点的平均值

m——采样点的总数   (Iso14644中文版原文来源://m.capeel.com/a-102/)

无论任何一个给定的采样点的样品数是多少,所胡单个采样点的平均值都等量加权。

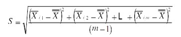
C.3.3 采样点平均值的标准偏差(S)

用公式(C.3)确定采样点平均值的标准偏差。

                            

(C.3)式中,

S ——采样点平均值的标准偏差

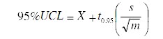
C.3.4 总均值的95%置信上限(UCL)

   用公式(C.3)确定总均值的95%置信上限

                                      

 (C.4)式中,

t0.95——表示具有m-1的自由度分布的95%分布(分布点)。

表C.1中给出了95%置信上限(UCL)的研究t分布系数(t0.95)。另外,统计计算机程序中的学生t分布也是合格的。


表C.1  95%置信上限(UCL)的研究t的分布系数

各个平均值的采样点数(m)

2

3

4

5

6

7-9

t

6.3

2.9

2.4

2.1

2.0

1.9





附录D

(资料部分) 


等级计算的应用实例 

D.1 例1

D.1.1

    被测的洁净室面积(A)为80m2。需要确定其在动态下是否符合规定的悬浮规定的悬浮粒子洁净度等级。该洁净室规定的空气洁净度等级为ISO Class 5(5级)。

D.1.2

    规定了2个被考虑粒径:0.3μm (D1)和0.5(D2) μm

a)2个粒径都在ISO Class 5的粒径范围之内,(见3.3c)和表1:0.1μm≤0.3μm,0.5μm≤5μm

b)被考虑的二个粒径是否符合粒径比要求,D2≥1.5 X D1(见3.3c):0.5μm≥(1.5 X 0.3μm=0.45μm),是符合的。

D.1.3


D.1.4

    采样点数按公式计算

                                      

因此,最少采样点数为9个。由于采样点数少于10,按附录C计算95%置信上限是适用的。


D.1.5

    单次采样量Vs以升计,按公式(B.2)计算(见B.4.2.1)

                                                           

结果大于2L,选择的采样量为28L/min的采样仪器(离散粒子计数和光散射仪器通用的流量)这一选择的依据是:

a) Vs>2L(见B4.2.2)

b) Cn.m>20pc/m3(见B.4.2.1)

c)采样时间>1分钟(见B.4.2.2)


D.1.6

    在各采样点,只取一次采样量(28升)(B.4.2.1)。

测量中得到的计数记录如下(B.5.1.1)。

采样点

粒子数(≥0.3μm)

粒子数(≥0.5μm)

1

245

21

2

185

24

3

59

0

4

106

7

5

164

22

6

196

25

7

226

23

8

224

37

9

195

19


D.1.7 

    按原始数据(D.1.6)计算粒子pc/m3,Xi :

采样点

Xi≥0.3μm

Xi≥0.5μm

1

8750

750

2

6607

857

3

2107

0

4

3786

250

5

5857

786

6

7000

893

7

8071

821

8

8000

1321

9

6964

679

0.3μm和0.5μm计算出的浓度值均低于D.1.3中确定的限值,满足了等级的第一部分(B.6.1)要求,因此可以按附录C进行95%的置信上限的计算。


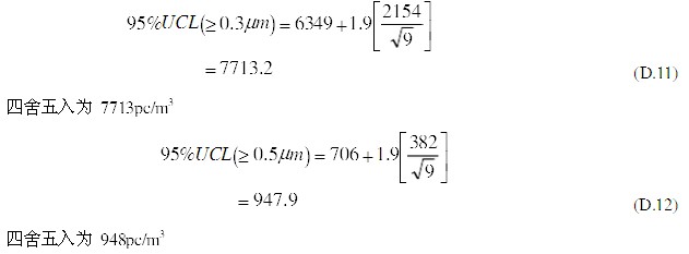
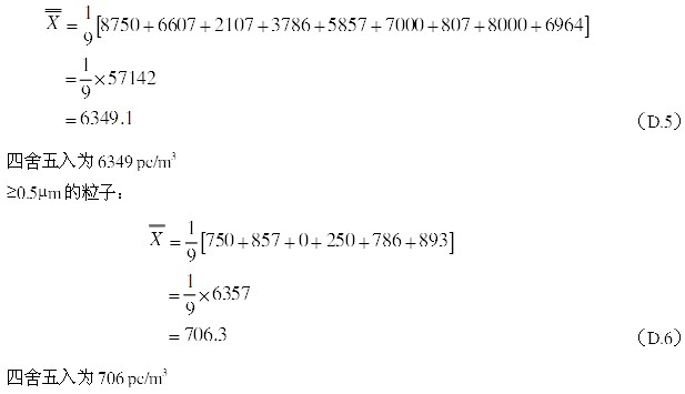
D.1.8 

    按公式(C.1)计算平均浓度(见C.2)是不适用的,因为采集的量是单次采样量,代表各个点的平均粒子浓度。平均值的总均值要按公式(C.2)计算(见C.3.2)。

≥0.3μm的粒子:


D.1.9

    按公式(C.3)计算采样点平均值的标准误差(见C.3.3)。

≥0.3μm的粒子:

四舍五入为382pc/m3


D.1.10

    按公式(C.4)计算95%置信上限(UCL)(见C.3.4).单个平均值采样点数m=9,取自表C.1中的分布系数t=1.9。


D.1.11

    按B.6.1对结果进行整理。在D.1.7中各单次采样量的粒子浓度低于规定的等级限值。在D.1.10中,计算出的95%置信上限值同样低于在D.1.3中规定的等级限值。

   因此,该洁净室的悬浮粒子洁净度符合要求的级别。


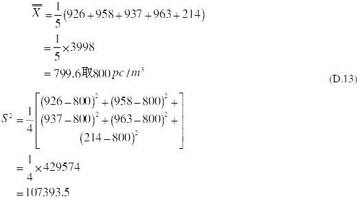
D.2 实例2

D.2.1

    本示例目的在于证实95%UCL的计算对结果的影响。

   某一洁净室规定悬浮粒子洁净度为ISO 3级,动态,采样点数定为5个。由于采样点数多于1个,少于10个,应按附录C计算95%置信上限。

   只考虑一种粒径(D≥0.1μm)。

D.2.2

    ISO 3级,粒径≥0.1μm,从表1中取粒子浓度限值:

Cn(≥0.1μm)= 1000 pc/m3

D.2.3

    在各采样点仅单次采样,按(B.5.1.1)记录各点的粒子浓度Xipc/m3,并记录如下。

               采样点                Xi≥0.1μm

                  1                      926

                  2                      958

                  3                      937

                  4                      963

                  5                      214

D=0.1μm时各粒子浓度值小于D.2.2中确定的限值。这个结果满足了等级的第一部分(B.6.1),因此可以按附录C进行95%置信上限的计算。


D.2.4

   平均值的总均值要按公式(C.2)计算(见C.3.2)。


D.2.5

   按公式(C.3)计算采样点平均值的标准误差(见C.3.3):


D.2.6

    按公式(C.4)计算95%置信上限(UCL)(见C.3.4):

    单个平均值m=5,取自表C.1中的分布系数t=2.1

D.2.7

   各单次采样量的粒子浓度低于规定的等级限值(D.2.2)。

   但是,95%置信上限的计算表明该洁净室悬浮粒子洁净度不符合规定的级别。

   本示例说明按95%UCL的计算结果,一个单采样的界外低粒子浓度(即采样点5)所造成的影响。

   由于空气洁净度的等级之不相符性是因采用了95%UCL,并由一个单次采样的低粒子浓度造成,可按照B.6.2中的程序确定该不相符性是否可以作废不计。



附录E

(资料部分) 


对等级表粒径之外的粒子之粒径和计数的考虑 

E.1 通则

   在某些情况下,特别是与具体工艺要求相连的情况下,可以依据等级表粒径范围之外的粒子群体规定另外适用的空气洁净度级别。用户和供应商应就这类粒子的最大允许浓度和选择验证相符性的测试方法等问题达成协议。在E.2(U描述符)和E.3(M描述符)中给出了关于测试方法和规定的技术要求形式的考虑。


E.2 小于0.1μm的粒子(超微粒子)的评价——U描述符

E.2.1 应用

   如果要评定小于0.1μm的粒子造成的污染危险,应采用适合于这类粒子具体特性的采样装置和测量程序。

   应该按照B.4.1确定采样点的数目,最小采样量Vs应为2L(B.4.2.2)

E.2.2  U描述符的形式

    U描述符的超微粒子浓度可以单独应用,或者是作为悬浮粒子洁净度级别的补充来应用。U描述符用“U(x;y)”的形式表示,其中,

    x——超微粒子的最大允许浓度(以超微粒子pc/m3空气表示);

    y——以微米计的粒径的,用适宜的离散粒子计数器对这种粒子数计数时,计数效率为50%。

实例 如粒径范围为,最大允许超微粒子的浓度为140000 pc/m3,其标识符为“U(140000;0.1μm)”。

注1在IEST-G-CC1002[1]中给出了小于0.1μm的悬浮粒子浓度测试方法。

注2如果用U描述符作为悬浮粒子洁净度级别的补充,超微粒子的浓度(x)不得小于规定的ISO等级之0.1μm被考虑粒径适用的粒子浓度限值(pc/m3)。


E.3 大于5μm的粒子(大粒子)的评价——M描述符

E.3.1 应用

   如果要评定大于5μm的粒子造成的污染危险,应采用适合于这类粒子具体特性的采样装置和测量程序。

   悬浮粒子群体中的大粒子主要是在工艺环境中释放出的粒子。应该根据具体的应用来确定适用的采样装置和测量程序。需要考虑的因素有粒子的密度、形状、容积和空气动力特性。还可能需要特殊强调的在总悬浮粒子中的特殊成份,如纤维。

E.3.2  M描述符的形式

    M描述符可以单独应用,或者是作为悬浮粒子洁净度级别的补充来应用。M描述符用“M(a; b); c”的形式表示,其中,

    a——大粒子的最大允许浓度(以大粒子pc/m3空气表示);

    b——当量直径(或直径),与规定的测量大粒子的方法相关(以微米表示);

    c——规定的测量方法

注1 如果采样的悬浮粒子群体中含有纤维,则可以向M描述符附加一个单独的纤维用描述符,表示形式为Mfiber(a; b; ):c。

例1 如果使用测定粒子空气动力直径的浮游气溶胶粒子计数器,粒径范围为≥5μm的悬浮粒子的浓度为10000 pc/m3,则其标识符为“M(10000;>5μm);浮游气溶胶粒子计数器”。

例2 如果使用多级冲击取样器,然后再用显微法测定粒径并计数,粒径范围为10-20μm的悬浮粒子的浓度为1000 pc/m3,则其标识符为“M(1000;10-20μm);多级冲击采样器,然后再用显微法测定粒径并计数”。

注2 在IEST-G-CC1003[2]中给出了大于5μm的悬浮粒子浓度的测试方法。

注3 如果用M描述符作为悬浮粒子洁净度级别的补充,大粒子的浓度(a)不得大于规定的ISO等级之5μm被考虑粒径适用的粒子尝试限值(pc/m3)。



附录F

(资料)


顺序采样法

F.1 背景和局限性

F.1.1 背景

   若采样的空气之污染程度显著大于或小于被考虑粒径的规定级别浓度,采用顺序采样法通常可大幅度减少采样量和采样时间。当尝试接近规定限值时,也可实现一定程度的节省采样量和时间。顺序采样法最适合于空气洁净度期望达到ISO 4级或更洁净的环境。

注 有关顺序采样法的进一步资料,见IEST-G-CC 1004[3]。

F.1.2 局限性(顺序采样法的主要局限性有:)

a) 此方法仅适用于被考虑粒径的粒子在规定等级或浓度限值时,每次测量到20颗粒子的采样。

b) 每次采样测量要求辅助监测和数据分析,可以用计算机自动进行。

c) 由于减少了采样量,粒子浓度的确定不如常规采样法精确。


F.2 顺序采样法的依据

   此方法基于实时累积粒子计数与参考计数值的对比。参考数值由求上下限值的公式得出:

    上限值:C=3.96+1.03E                         (F.1)

    下限值:C=-3.96+1.03E                        (F.2)

公式中,

C为观察到计数

E为期望计数

为了便于比较,在图F.1图形的形式,表F.1以表格的形式提供了参考值。两种形式均可采用


表F.1 对于时间应达到C观察到计数值时的上下限值

不合格

若观察到计数值C早于期望计数值出现

合格

若观察到计数值C迟于期望计数值出现

以小数表示的时间t

观察到计数值

以沾上数表示的时间t

观察到计数值

0,0019

4

0,1922

0

0,0505

5

0,2407

1

0,0992

6

0,2893

2

0,1476

7

0,3378

3

0,1961

8

0,3864

4

0,2447

9

0,4349

5

0,2932

10

0,4834

6

0,3417

11

0,5320

7

0,3902

12

0,5805

8

0,4388

13

0,6291

9

0,4873

14

0,6676

10

0,5359

15

0,7262

11

0,5844

16

0,7747

12

0,6330

17

0,8233

13

0,6815

18

0,8718

14

0,7300

19

0,9203

15

0,7786

20

0,9689

16

1,0000

21

1,0000

17

注:以小数表示的时间是时间的百分率(不等级限值时t=1.000)


   在各指定的采样点进行空气采样时,正在计数的总粒子计数值连续地与作为规定已采样总量的比例函数的参考值进行比较。如果正在计数的总计数值低于与已采样量相应的参考限值,则正在采样的空气被认为是符合规定的等级或浓度,采样停止。

   如果正在计数的总计数值高于与已采样量相应的参考限值,则正在采样的空气被认为不符合规定的等级或浓度,采样停止,只要正在计数的数值处于上、下限之间,采样就连续进行,直到整个采样被累积。

   图F.1绘出的是观察到计数值C与期望计数值E的关系。期望计数值E是在测量全部单次采样空气的时间内产生20个计数的流量(容积/时间)时采样空气的计数,而且浓度应符合被考虑粒径的规定限值。

   表F.1提供了一等效的方法。把观察到计数C的时间与表中测量全部单次采样空气要求的递增时间相比较。若计数的出现早于表中的期望时间,则是被采样的空气不符合规定限值。若计数的出现迟于表中的期望时间,则被采样的空气符合规定限值。最多要求21次粒子得出时间与表中限定时间的对比。


F.3 采样程序

F.3.1 顺序采样基准

   有两种鉴定数据收集结果的技术可供选择。进展式计算机化的数据分析比较好,在此推荐使用。

F.3.2 图形式采样对比

   图F.1表示按公式(F.1)和(F.2)建立的界限。截止到E=20为限值,表示收集—全采样量需要的时间,而C=20则为允许的最大观察到计数值。

   绘出观察到计数值相对于粒子浓度精确等于规定级别的空气的期望计数值。经过的时间与期望计数值的增加数相对应,E=20表示在粒子浓度为级别限值时,累积—全采样量所要求的时间。

   随着采样的进行,记录下作为时间函数的粒子计数,并将该计数与图F.1中的上、下限线进行比较。如果累积观察到计数与上限线相交,该点的采样停止,空气被认为与规定等级限值不相符。如果累积观察到计数与下限线相交,该点的采样停止,空气被认为与规定等级限值相符。如果累积观察到计数保持在上、下限线之间,采样继续进行。

   如在规定的采样期结束时总计数为20或不到20,并且未与上限线相交,则空气被认为符合等级限值。

F.3.3 图表采样比较

   表F.1提供了—与顺序采样法等效的方法。同样基于公式(F.1)和(F.2)。表中的时间t被赋予一个值-“10000”,表示一个完整的单次采样期间。如果空气中含有被考虑粒径的精确的等级限值当量浓度,该次采样量即是提供20个粒子必需要的量。表中列出的时间值是累积整个单次采样需要的总时间之小数部分。

   表F.1中顺序采样法的程序如下:

   随着采样的进行记录下作为时间函数的粒子计数,并将各次观察到计数的时间与表达式中两列时间相比较。如果与表左侧的一列相比,证明给定的累积观察到计数的出现早于期望时间,该点的采样停止,空气被认为与规定等级限值不相符。如果与表右侧的一列相比,证明累积观察到计数的出现迟于期望时间,该点的采样停止,空气被认为与规定等级限值相符。如果累积观察到计数连续出现在两列时间之间,采样继续进行。如果与表左侧的一列相比较21次,计数仍继续进行,并且没有早于期望时间出现的计数,空气则符合全部单次采样的规定限值。

更多
相关文章:
洁净厂房设计规范(GBJ73-84)(洁净室设计标准)老版全文
洁净厂房设计规范(GB 50073-2001)(新版洁净室设计标准全文)

上一条:传染病医院建筑施工及验收规范(最新完整版全文)下一条:ISO14644-2(洁净室及相关控制环境国际标准)
首页 | 关于我们 | 解决方案 | 工程案例 | 客户中心 | 1946浼熷痉bet | 1946浼熷痉 | 1946浼熷痉澶囩敤缃戝潃
深圳、佛山、东莞、中山、江门、惠州、广州净化工程公司|无尘车间|洁净室|无尘室|净化车间|净化厂房|洁净厂房|洁净车间|洁净棚|GMP车间|GMP厂房等空调洁净工程施工及服务
拓展阅读:10万级净化车间标准|实验动物房|中央厨房|洁净室换气次数|洁净手术室规范|GMP洁净度等级|食品生产卫生规范|洁净厂房施工要点|无尘车间着装规范
Copyright © 2012-2018
Baidu
map